Angular Defect Orientation Detection from B-scans

Problem Description

Defects in building envelopes present unique challenges for GPR diagnostics. This is primarily due to the low permittivity contrasts between the envelope and defect materials, as well as the irregular shapes of the defects. The minimal contrast in permittivity between envelope materials (such as PVC and plywood) and defect materials (typically trapped air) results in weak reflections that are often difficult to interpret. Additionally, the irregular geometries of defects produce erratic patterns in radargrams, making them hard to classify reliably. This study investigates the potential of convolutional neural networks (CNNs) for detecting such defects. To this end, a controlled experiment is designed in which an isosceles triangular defect is rotated within a building envelope. For each orientation, the corresponding GPR B-scan of the wall section is simulated using an FDTD solver (GPRMax). A convolutional regression model is then employed to predict the angle of orientation of the defect from the resulting radargrams.

Data

As seen in Figure 1 illustration, the change in orientation of the defect results in continuous shifts in the B-scan signal, until the incoming signals are aligned with one of the corners in the triangle. However, the signals disappear abruptly when the corner of the defect is aligned towards the incoming signal.
Defects with different orientations
Figure 1: Although a continuous shift is observed with change in orientation, this pattern breaks when the sharp corners of the defect are oriented towards incoming signals.
This represents a challenge for any model attempting to predict the orientation of the defect, since this means that the distribution of the B-scans is not smooth and continuous concerning the angle of orientation.
Defects with different orientations
Figure 2: Given the symmetry of the triangular shape of the defect, different orientations lead to very similar scans. This poses a challenge in predicting the orientation of the defect.
Moreover, the symmetrical nature of the shape means that defects at very different orientations can lead to very similar signals. As seen in Figure 2, the defect angles 140 and 280 have very similar signals, so do 0 and 220, and 300 and 60.

Figure 3: Reduced embedding reveals discernible trends indicating raw data may be sufficient for prediction.

Reduced-dimensional projection of the B-scans maintains this pattern. Clusters of points corresponding to similar defect angles lie close to each other, however, this is only a local trend, covering only segments of possible defect angles. Dissimilar angles that produce similar scans are closer together in the reduced embedding (see 142 and 281 defect angles).

Model

A Convolutional Neural Network (CNN) is a type of deep learning model specifically designed for processing structured grid data, such as images. CNNs are particularly effective for tasks like image classification, object detection, and regression problems involving spatial data. A convolutional regressor with the following architecture is used to predict the defect angle from the B-scan:
Defects with different orientations
Figure 4: Architecture of the CNN model consists of alternating convolutional and pooling layers that capture both temporal and spatial correlations between signals. The subsequent fully connected (*fc*) layers non-linearly transform the collected and condensed signals to predict the orientation angle of the defect.

Analysis and Results

Different train-test splits are subsequently used to evaluate the model's performance.

Random Split

The dataset is randomly split into an 80-20 ratio. The model is trained on 80% of the data and tested on 20%.
Defects with different orientations
Figure 4: Given the symmetry of the triangular shape of the defect, different orientations lead to very similar scans. This poses a challenge in predicting the orientation of the defect.
As shown in the parity plot in Figure 4, the model predicts the defect orientation angle with a percent root mean squared error (PRMSE) of 4.96% on the test set. Interestingly, the training error is slightly higher than the test error, primarily due to larger deviations at the extreme ends of the orientation angle range. The right-hand panel presents an overlay of the actual and predicted defect orientations (with the predicted orientations shown as more transparent), illustrating a strong visual alignment between the two.

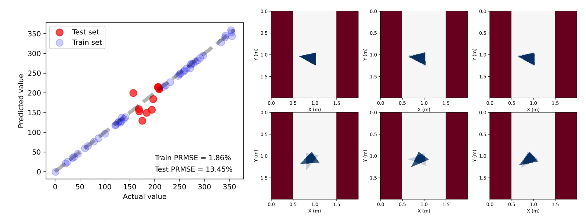
Interpolation Split

To further assess the model's performance on previously unseen orientation ranges, a conditional data split is applied.
Data Set Orientation (degrees)
Train 150 > orientation > 210
Test 210 > orientation > 150
Defects with different orientations
Figure 4: Given the symmetry of the triangular shape of the defect, different orientations lead to very similar scans. This poses a challenge in predicting the orientation of the defect.

Conclusions

** In progress **

[Summary of key findings and implications]

** In progress **